个性化阅读
专注于IT技术分析

标签:算法的主方法

算法的主方法-srcmini
算法设计与分析

算法的主方法

半瓶木阅读(1219)评论(0)赞(0)

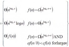
主方法用于解决以下类型的重复 T(n)= a ++(n)且a≥1和b≥1为常数&f(n)为函数且可解释为 通过递归在非负整数上定义T(n)。 在分析递归算法的函数中, 常量和函数具有以下含义: n是问题的大小。 a是递归中子问题的数量。 n...