个性化阅读
专注于IT技术分析

计算机图形:三角法

本文概述

以下等式用三角函数定义了一个椭圆, 如图所示:

x = a * cos(θ)+ h, y = b * sin(θ)+ k其中(x, y)=当前坐标a =长轴长度b =短轴长度θ=当前角度(h, k)=椭圆中心

在此方法中, θ的值从0到弧度变化。其余点通过对称找到。

三角法

退税

  1. 这是一种低效的方法。
  2. 它不是用于生成椭圆的交互式方法。
  3. 需要该表才能查看三角值。
  4. 需要存储器来存储θ的值。

算法

步骤1:开始算法

步骤2:声明变量x1, y1, aa1, bb1, aa2, bb2, fx, fy, p1, a1, b1

步骤3:初始化x1 = 0和y1 = b / *圆起点的值* /

步骤4:计算aa1 = a1 * a1计算bb1 = b1 * b1计算aa2 = aa1 * 2计算bb2 = bb1 * 2

步骤5:初始化fx = 0

步骤6:初始化fy = aa_2 * b1

步骤7:计算p1的值, 如果它是整数p1 = bb1-aa1 * b1 + 0.25 * a1 /

步骤8:

While (fx < fy)
	{
		Set pixel (x1, y1)
                      Increment x i.e., x = x + 1
                      Calculate fx = fx + bb2
                       If (p1 < 0)
                                 Calculate p1 = p1 + fx + bb1/
                       else
		{
			Decrement y i.e., y = y-1
	                      Calculate fy = fy - 992;
				p1=p1 + fx + bb1-fy
                        }
                }

步骤9:Setpixel(x1, y1)

步骤10:计算p1 = bb1(x + .5)(x + .5)+ aa(y-1)(y-1)-aa1 * bb1

步骤11:

While (y1>0)
                {
                          Decrement y i.e., y = y-1
                           fy=fx-aa2/
                         if (p1>=0)
		   p1=p1 - fx +  aa1/
                        else
                 {
                        Increment x i.e., x = x + 1
                        fx= fx+bb_2
                        p1=p1+fx-fy-aa1
                  }
        }
       Set pixel (x1, y1)

步骤12:停止算法

程序使用三角法绘制圆:

#include <graphics.h>
#include <stdlib.h>
#include <math.h>
#include <stdio.h>
#include <conio.h>
#include <iostream.h>
# define pi 3.14

class bresen
{
	float a, b, h, k, thetaend, step, x, y;
	int i;
	public:
	void get ();
	void cal ();
};
	void main ()
    {
	bresen b;
	b.get ();
	b.cal ();
	getch ();
   }
	void bresen :: get ()
   {
	cout<<"\n ENTER CENTER OF ELLIPSE";
	cin>>h>>k;
	cout<<"\n ENTER LENGTH OF MAJOR AND MINOR AXIS";
	cin>>a>>b;
	cout<<"\n ENTER STEP SIZE";
	cin>> step;
   }
void bresen ::cal ()
{
	/* request auto detection */
	int gdriver = DETECT, gmode, errorcode;
	int midx, midy, i;
	/* initialize graphics and local variables */
	initgraph (&gdriver, &gmode, " ");
	/* read result of initialization */
	errorcode = graphresult ();
	if (errorcode ! = grOK)    /*an error occurred */
	{
 		printf("Graphics error: %s \n", grapherrormsg (errorcode);
		printf ("Press any key to halt:");
		getch ();
		exit (1); /* terminate with an error code */
	}
	theta= 0;
	thetaend=(pi*90)/180;
	whilex (theta<thetaend)
	{
		x = a * cos (theta);
		y = b * sin (theta);
		putpixel (x+h, y+k, RED);
		putpixel (-x+h, y+k, RED);
		putpixel (-x+h, -y+k, RED);
		putpixel (x+h, -y+k, RED);
		theta+=step;
	}
		getch();
}

输出:

三角法

椭圆轴旋转

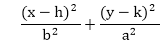
由于椭圆显示四向对称性, 因此可以轻松旋转。通过交换a和b(描述长轴和短轴的值)可以找到新的等式。当使用多项式方法时, 用于描述椭圆的方程变为

三角法

其中(h, k)=椭圆中心a =长轴长度b =短轴长度在三角法中, 方程为x = b cos(θ)+ h和y = a sin(θ)+ k

其中(x, y)=当前坐标a =主轴长度b =短轴长度θ=当前角度(h, k)=椭圆中心

假设你想将椭圆旋转90度以外的角度。椭圆的旋转可以通过旋转x&y轴α度来实现。

x = a cos(0)-b sin(0+∞)+ h y = b(sin 0)+ a cos(0 +∞)+ k

三角法

赞(1)
未经允许不得转载:srcmini » 计算机图形:三角法

评论 抢沙发

评论前必须登录!