本文概要
线性回归和Logistic回归是哪来下监督学习技术的两个著名的机器学习算法。由于这两种算法在本质上是监督,因此这些算法使用标记的数据集进行预测。但它们之间的主要区别是如何被使用它们。线性回归用于解决回归问题,而Logistic回归用于解决分类问题。两个算法的描述与表差沿着在下面给出。

线性回归
- 线性回归是来监督之下学习技术,并用于解决回归问题的最简单的机器学习算法之一。
- 它是用于与自变量的帮助下预测连续的因变量。
- 的线性回归的目标是找到最佳拟合线,可以准确地预测用于连续因变量的输出。
- 如果单个自变量被用于预测然后它被称为简单线性回归,如果有两个以上的独立变量则这种回归被称为多元线性回归。
- 通过找到最佳拟合线,算法建立因变量和自变量之间的关系。和的关系应该是线性的性质。
- 对于线性回归的输出应该只是连续值,如价格,年龄,工资,等等可在下面的图像中显示的因变量和自变量之间的关系:

另外,在上述图像因变量是在Y轴上(工资)和独立变量是x轴(经验)。回归线可以写成:
y= a0+a1x+ ε
其中,A0,A1的系数ε是误差项。
Logistic回归
- Logistic回归分析是,在监督学习技术来最流行的机器学习算法之一。
- 它可用于分类和回归的问题,但主要用于分类问题。
- Logistic回归被用来预测与自变量的帮助下,分类因变量。
- Logistic回归问题的输出可以是仅在0和1之间。
- 可以在需要两个类之间的概率可以使用逻辑回归。比如是否今天会不会下雨,无论是0或1,真或假等。
- Logistic回归是基于最大似然估计的概念。根据这个估计,观测数据应该是最有可能的。
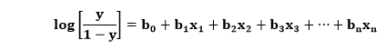
- 在逻辑回归,我们通过激活功能,可以在0和1之间这样的激活函数被称为S形函数和获得的曲线被称为S形曲线或S形曲线映射值传递的输入的加权和。考虑下面的图片:

- 对于回归方程为:

线性回归和Logistic回归的区别:
| 线性回归 | Logistic回归 |
|---|---|
| 线性回归是用来预测连续的因变量使用一组给定的自变量。 | 逻辑回归是用来预测分类因变量使用一组给定的自变量。 |
| 线性回归用于解决回归问题。 | Logistic regression is used for solving Classification problems. |
| 在线性回归中,我们预测连续变量的值。 | 在逻辑回归,我们预测分类变量的值。 |
| 在线性回归中,我们找到了最合适的直线,通过它我们可以很容易地预测输出。 | 在Logistic回归中,我们找到了s曲线,通过它我们可以对样本进行分类。 |
| 最小二乘估计方法被用于精确的估计。 | 采用极大似然估计法进行精度估计。 |
| 线性回归的输出必须是一个连续的值,如价格、年龄等。 | Logistic回归的输出必须是分类值如0或1,是或否,等 |
| 在线性回归中,因变量和自变量之间的关系必须是线性的。 | 在Logistic回归中,不要求因变量和自变量之间存在线性关系。 |
| 线性回归,可以存在自变量之间的共线性。 | 在logistic回归中,自变量之间不应存在共线性关系。 |
srcmini
评论前必须登录!
注册