图灵机接受所有语言,即使它们可以递归枚举。递归表示重复相同的规则集任何次数,而可枚举表示元素列表。 TM还接受可计算的功能,例如加法,乘法,减法,除法,幂函数等。
例:
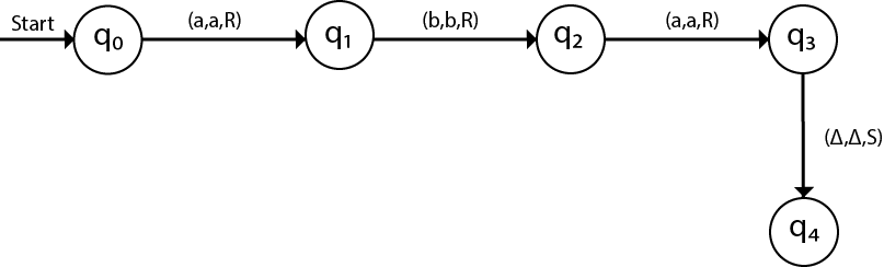
构造一个在∑ = {a,b}上接受aba语言的图灵机。
解:
我们将假设在输入磁带上将字符串“ aba”放置如下:

磁头将读出序列,直到Δ个字符为止。如果磁带头读出“ aba”字串,则TM在读取Δ后将停止。
现在,我们将看到此图灵机如何用于aba。最初,状态为q0,头指向a:

该移动将为δ(q0,a)=δ(q1,A,R),这意味着它将进入状态q1,将a替换为A,并且头部将向右移动为:

该移动将为δ(q1,b)=δ(q2,B,R),这意味着它将进入状态q2,将b替换为B,并且head将向右移动为:

该移动将为δ(q2,a)=δ(q3,A,R),这意味着它将进入状态q3,将a替换为A,并且头部将向右移动为:

移动δ(q3,Δ)=(q4,Δ,S),这意味着它将进入状态q4,该状态为HALT状态,并且HALT状态始终是任何TM的接受状态。
相同的TM可用过渡表表示:
| 状态 | 一种 | b | D. |
|---|---|---|---|
| q0 | (q1, A, R) | – | – |
| q1 | – | (q2, B, R) | – |
| q2 | (q3, A, R) | – | – |
| q3 | – | – | (q4, Δ, S) |
| q4 | – | – | – |
相同的TM可用过渡图表示:

srcmini
评论前必须登录!
注册