本文概述
数据类型指定变量可以存储的数据类型,例如整数,浮点数,字符等。

C#语言中有3种数据类型。
| 种类 | 资料类型 |
|---|---|
| 值数据类型 | short, int, char, float, double等 |
| 引用数据类型 | 字符串, 类, 对象和接口 |
| 指针数据类型 | 指针 |
值数据类型
值数据类型是基于整数和基于浮点的。 C#语言支持有符号和无符号文字。
C#语言中有两种类型的值数据类型。
1)预定义的数据类型-如整数,布尔值,浮点数等
2)用户定义的数据类型-例如结构,枚举等。
数据类型的内存大小可能会根据32或64位操作系统而变化。
让我们看一下值数据类型。它的大小是根据32位操作系统给出的。
| 资料类型 | 记忆体大小 | 范围 |
|---|---|---|
| char | 1个字节 | -128至127 |
| signed char | 1个字节 | -128至127 |
| unsigned char | 1个字节 | 0至127 |
| short | 2字节 | -32, 768至32, 767 |
| signed short | 2字节 | -32, 768至32, 767 |
| unsigned short | 2字节 | 0至65, 535 |
| int | 4字节 | -2, 147, 483, 648至-2, 147, 483, 647 |
| signed int | 4字节 | -2, 147, 483, 648至-2, 147, 483, 647 |
| unsigned int | 4字节 | 0至4, 294, 967, 295 |
| long | 8字节 | 9, 223, 372, 036, 854, 775, 808至9, 223, 372, 036, 854, 775, 807 |
| signed long | 8字节 | 9, 223, 372, 036, 854, 775, 808至9, 223, 372, 036, 854, 775, 807 |
| unsigned long | 8字节 | 0 – 18, 446, 744, 073, 709, 551, 615 |
| float | 4字节 | 1.5 * 10-45-3.4 * 1038, 7位数精度 |
| double | 8字节 | 5.0 * 10-324-1.7 * 10308, 15位精度 |
| decimal | 16字节 | 至少-7.9 * 10?28-7.9 * 1028, 至少28位精度 |
参考数据类型
参考数据类型不包含存储在变量中的实际数据,但是它们包含对变量的引用。
如果数据被其中一个变量更改,则另一个变量会自动反映该值的更改。
C#语言中有两种参考数据类型。
1)预定义类型-例如对象,字符串。
2)用户定义的类型-例如类,接口。
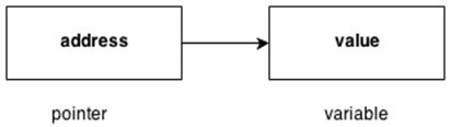
指针数据类型
C#语言中的指针是一个变量,也称为定位器或指示符,它指向值的地址。

指针中使用的符号
| 符号 | Name | 描述 |
|---|---|---|
| & (ampersand sign) | 地址运算符 | 确定变量的地址。 |
| * (asterisk sign) | 间接算子 | 访问地址值。 |
声明一个指针
可以使用*(星号)声明C#语言中的指针。
int * a; //pointer to int
char * c; //pointer to char
srcmini
评论前必须登录!
注册