个性化阅读
专注于IT技术分析

LR(0)项的规范集合

LR(0)项目是产品G, 在产品右侧的某个位置带有点。

LR(0)项用于指示在解析过程中, 已扫描了多少输入直到给定点。

在LR(0)中, 将reduce节点放置在整行中。

给定语法:

S → AA
A → aA | b

添加增广产品并在G的每个产品的第一个位置插入“•”符号

S` → •S
S → •AA
A → •aA 
A → •b

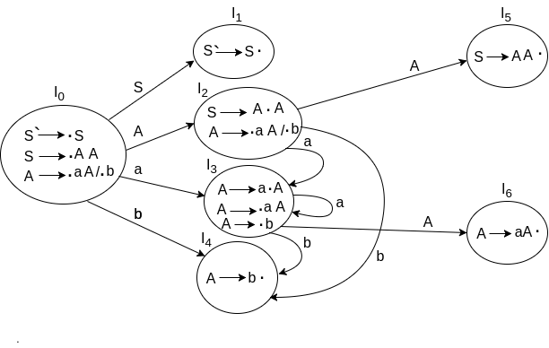
I0状态:

将增产增加到I0状态并计算关闭

I0 =闭合(S`→•S)

将所有以S开头的产品添加到I0状态, 因为“•”后跟非终结符。因此, I0状态变为

I0 = S`→•S S→•AA

在修改后的I0状态中添加所有以“ A”开头的产品, 因为“•”后跟非终结符。因此, I0状态变为。

I0 = S`→•S S→•AA A→•aAA A→•b

I1 =转到(I0, S)=闭包(S`→S•)= S`→S•

在这里, 产量减少了, 所以状态接近了。

I1 = S`→S•

I2 =转到(I0, A)=闭包(S→A•A)

将所有以A开头的产品添加到I2状态, 因为“•”后跟非终结符。因此, I2状态变为

I2 = S→A•A A→•aA A→•b

转到(I2, a)=闭包(A→a•A)=(与I3相同)

转到(I2, b)=闭包(A→b•)=(与I4相同)

I3 =转到(I0, a)=闭包(A→a•A)

在I3中添加以A开头的作品。

A→a•A A→•aAA A→•b

转到(I3, a)=闭合(A→a•A)=(与I3相同)转到(I3, b)=闭合(A→b•)=(与I4相同)

I4 =转到(I0, b)=闭合(A→b•)= A→b•I5 =转到(I2, A)=闭合(S→AA•)= SA→A•I6 =转到(I3 , A)=闭合(A→aA•)= A→aA•

绘图DFA:

DFA包含7个状态I0至I6。

LR(0)项的规范集合

LR(0)表

  • 如果某个状态将要在终端上变为其他状态, 则它对应于换档。
  • 如果一个状态将要在变量上移至其他状态, 则它对应于移动。
  • 如果状态包含特定行中的最后一项, 则完全写入reduce节点。
LR(0)项的规范集合1

说明:

  • S上的I0即将变为I1, 因此将其写为1。
  • A上的I0即将到达I2, 因此将其写为2。
  • A上的I2即将到达I5, 因此将其写为5。
  • A上的I3将转到I6, 因此将其写为6。
  • Ia上的I0, I2和I3将转到I3, 因此将其写为S3, 这意味着移位3。
  • b上的I0, I2和I3将转到I4, 因此将其写为S4, 这意味着移位4。
  • I4, I5和I6所有状态都包含最后一项, 因为它们在最右端包含•。因此, 将生产定为生产数量。

产品编号如下:

S  →      AA    ... (1)                            
A   →     aA      ... (2) 
A    →    b     ... (3)
  • I1包含驱动的最终项目(S`→S•), 因此操作{I1, $} =接受。
  • I4包含驱动A→b•的最后一项, 并且生产对应于生产编号3, 因此在整行中将其写为r3。
  • I5包含驱动S→AA•的最后一项, 并且生产对应于生产编号1, 因此在整行中将其写为r1。
  • I6包含驱动A→aA•的最后一项, 并且该生产对应于生产编号2, 因此在整行中将其写为r2。
赞(0)
未经允许不得转载:srcmini » LR(0)项的规范集合

评论 抢沙发

评论前必须登录!