计算机图形:中点椭圆算法
这是一种增量方法, 用于扫描转换以标准位置为原点的椭圆, 即长轴和短轴平行于坐标系轴。它与中点圆算法非常相似。由于四向对称性, 我们需要考虑第一象限中的整个椭圆曲线。 首先, 我们重写椭圆方程, 并定义函数f, 该函数可用于确定两个候选像素...
这是一种增量方法, 用于扫描转换以标准位置为原点的椭圆, 即长轴和短轴平行于坐标系轴。它与中点圆算法非常相似。由于四向对称性, 我们需要考虑第一象限中的整个椭圆曲线。 首先, 我们重写椭圆方程, 并定义函数f, 该函数可用于确定两个候选像素...
本文概述 退税 算法 椭圆轴旋转 以下等式用三角函数定义了一个椭圆, 如图所示: x = a * cos(θ)+ h, y = b * sin(θ)+ k其中(x, y)=当前坐标a =长轴长度b =短轴长度θ=当前角度(h, k)=椭圆中...

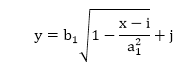
本文概述 多项式方法的缺点 算法 椭圆具有长轴和短轴。如果a1和b1分别是长轴和短轴。椭圆的中心是(i, j)。 x的值将从i递增到a1, y的值将使用以下公式计算 多项式方法的缺点 它需要平方值。因此需要浮点计算。 为此类计算而开发的例程...

它基于以下功能, 用于测试任意点(x, y)与以原点为中心的半径r的圆之间的空间关系: 现在, 考虑像素T和像素S之间的中间点的坐标 这称为中点(xi + 1, yi-), 我们用它来定义决策参数: Pi=f (xi+1, yi-) = (...

使用Bresenham算法对圆进行扫描转换的工作方式如下:点从90°到45°生成, 仅在+ x&-y方向上移动, 如图所示: 真实圆的最佳近似将由栅格中与真实圆的距离最小的那些像素描述。我们想从中产生点 90°至45°。假定最后的经扫描转换...

定义圆的第二种方法利用极坐标, 如图所示: x = r cosθy = r sinθ其中θ=当前角度r =圆半径x = x坐标y = y坐标 通过这种方法, θ从0步进到 &计算x和y的每个值。 算法 步骤1:设置初始变量: r =圆半径(...
第一种方法使用二阶多项式方程式定义一个圆, 如图所示: y2 = r2-x2其中x = x坐标y = y坐标r =圆半径 使用该方法, 可通过将x从0步进到90°来找到扇形中从90°到45°的每个x坐标。 &通过评估找到每个y坐标 对于x的...

圆是八向对称图形。圆的形状在所有象限中都相同。在每个象限中, 有两个八分圆。如果完成了一个八分圆点的计算, 则可以使用八向对称的概念轻松计算其他七个点。 对于绘图, 圆将其视为原点。如果一个点是P1(x, y), 那么其他七个点将是 因此,...
本文概述 布雷森汉姆线算法 DDA算法与布雷森汉姆线算法之间的区别 该算法用于扫描转换线。它是由Bresenham开发的。这是一种有效的方法, 因为它仅涉及整数加法, 减法和乘法运算。这些操作可以非常快速地执行, 因此可以快速生成线。 在这...
本文概述 DDA算法 对称DDA DDA代表数字差分分析仪。它是行扫描转换的增量方法。在这种方法中, 计算是在每个步骤中执行的, 但要使用先前步骤的结果。 假设在步骤i, 像素为(xi, yi) 步骤i的方程式yi = mxi + b ...